• Предмет: Математика
  • Автор: amiragubaev
  • Вопрос задан 1 год назад

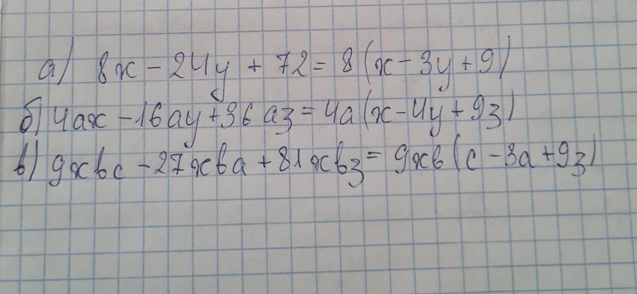
Хелп 4.Вынесите общий множитель за скобки а) 8х-24у+72 б)4ах-16ау+36az В)9хbc-27xba+81xbz

Ответы

Ответ дал: mashina22
0

Ответ:

.....................

Приложения:
Вас заинтересует