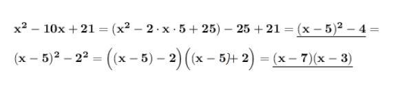
- 4. Дан квадратный трехчлен: х² - 10x + 21. а) Выделите полный квадрат из квадратного трехчлена; b) Разложите квадратный трехчлен на множители.
Ответы
Ответ дал:
1
Решение .
Выделить полный квадрат и разложить на множители квадратный трёхчлен , применяя формулу разности квадратов .
Приложения:

Вас заинтересует
1 год назад
1 год назад
1 год назад
1 год назад
2 года назад
8 лет назад
8 лет назад