Ответы
Ответ дал:
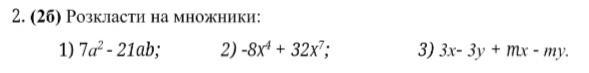
1
Ответ:
Ответ на листочке)
Объяснение:
Приложения:

Вас заинтересует
1 год назад
1 год назад
1 год назад
2 года назад
2 года назад
8 лет назад