Ответы
Ответ дал:
1
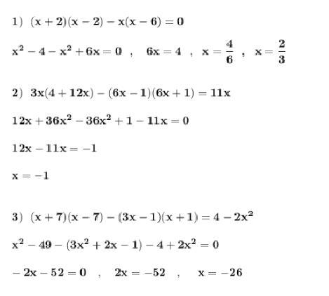
Решение .
Применяем формулы сокращённого умножения .
Приложения:

fctdgsygfdhngfxzgsac:
Alnadya, Здравствуйте! Можете помочь пожалуйста? Прошу https://znanija.com/task/54525535
Вас заинтересует
1 год назад
1 год назад
1 год назад
2 года назад
2 года назад
8 лет назад
8 лет назад