• Предмет: Алгебра
  • Автор: rostikra2010
  • Вопрос задан 1 год назад

СРОЧНО ПОЖАЛУЙСТА ПОМОГИТЕ ДАЮ 30 БАЛЛОВ

Приложения:

Ответы

Ответ дал: parus77
1

Ответ:

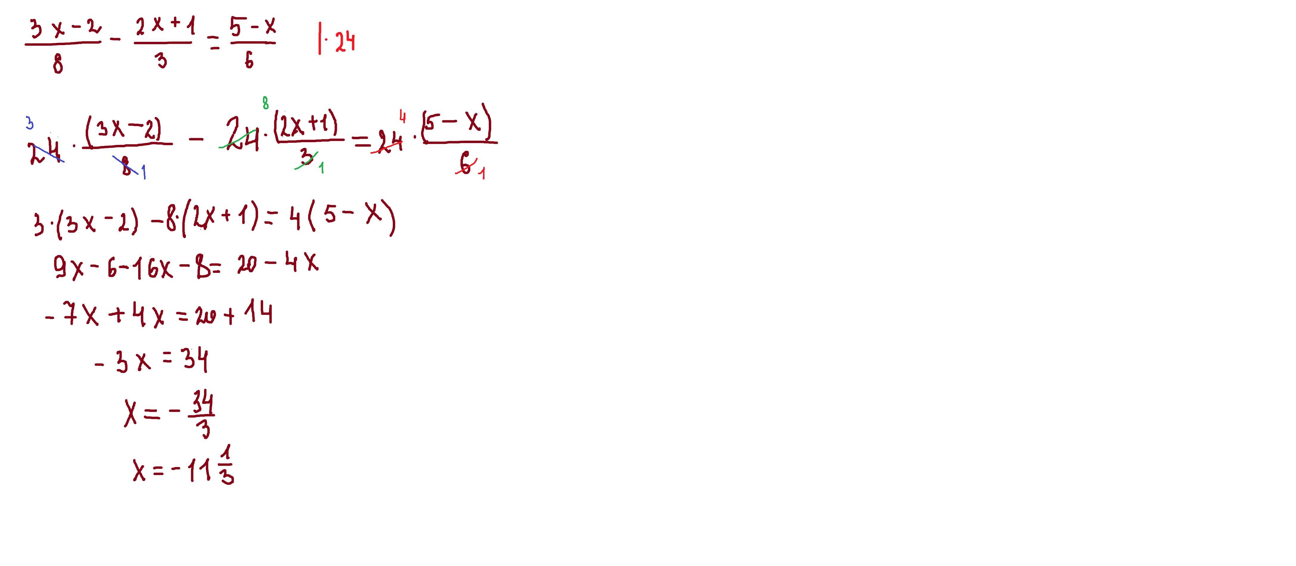
х= - 11 1/3

Объяснение:

решение внизу

Приложения:

rostikra2010: Там где зачеркнуто ошибки?
parus77: нет,это сокращение чисел,мы избавляемся от знаменателей,умножив все уравнение на общий знаменатель 24.
Вас заинтересует