• Предмет: Алгебра
  • Автор: makav995
  • Вопрос задан 1 год назад

Допоможіть будьласка!!!
Дам 60 балів!!

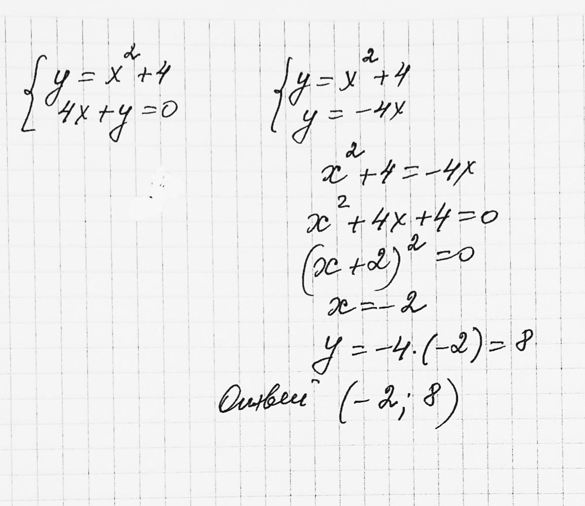
Розв'язком системи рівнянь є точка (з розв'язком та відповідьдю)

{y=x2+4
{4x+y=0

Точки:
А) (-8;-2)
Б) (8;2)
Б) (4;2)
Г) (-2;8)

Ответы

Ответ дал: ВладимирБ
3

Ответ:

Г) (-2;8)

Объяснение:

решение на фото

Приложения:

makav995: Спасибо
Лучший прям
masha01021: здравствуйте помогите пожалуйста решить задачу
Вас заинтересует