• Предмет: Алгебра
  • Автор: dasamoroz136
  • Вопрос задан 1 год назад

рібята допоможіть будь ласка

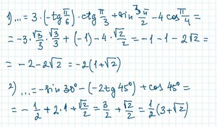
І варіант 1. Знайдіть значення виразу: П Зл T 1) 3tg( - )ctg - 4cos² 4 6 2 2) sin( - 30º) - 2tg(- 45º) + cos(- 45°) П -)ctg+sin- 3​

Приложения:

Ответы

Ответ дал: математик2011
1

Ответ:

на фото

Объяснение:

Приложения:

dasamoroz136: дякую!
Вас заинтересует