Ответы
Ответ дал:
1
Ответ:
Пошаговое объяснение:
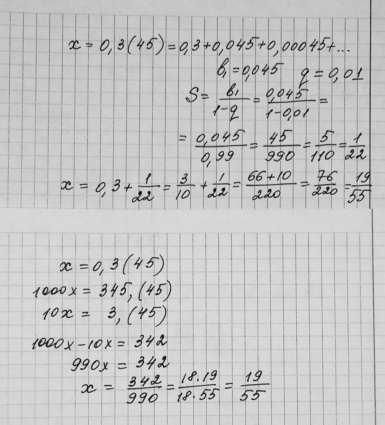
решение на фото
Приложения:

fctdgsygfdhngfxzgsac:
ВладимирБ, здравствуйте! можете помочь пожалуйста? https://znanija.com/task/54525535
Вас заинтересует
1 год назад
1 год назад
1 год назад
2 года назад
2 года назад
8 лет назад