• Предмет: Алгебра
  • Автор: capitanamerik822
  • Вопрос задан 1 год назад

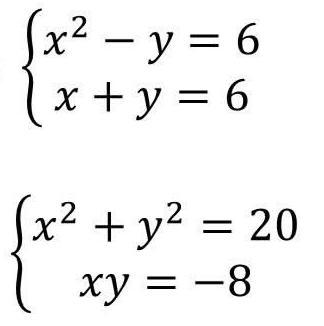
Розвʼязати систему рівнянь

Приложения:

Ответы

Ответ дал: aiaulim201203
0

Ответ:

ײ - у = 6 = -2

×+у=6=3+3

х² + у² = 20 = 5²+5²

×у=-8=-2×4

Вас заинтересует