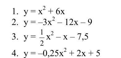
1) При каких x функция возрастает, при каких x функция убывает?
2) Укажите наибольшее и наименьшее значение функции
Приложения:

Ответы
Ответ дал:
0
1. Данная функция возрастает при всех допустимых значениях x.
2. Данная функция убывает на всей своей области определения.
3. Данная функция сначала убывает, а потом возрастает.
4. Данная функция сначала возрастает, а потом убывает. надеюсь помогла:) но проверь!
Вас заинтересует
1 год назад
1 год назад
1 год назад
2 года назад