• Предмет: Алгебра
  • Автор: vladbarilak19
  • Вопрос задан 1 год назад

допоможіть!! як це розвязати письмово?​

Приложения:

Ответы

Ответ дал: ardrig09
1

Ответ:

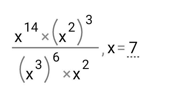
Сначала упростим выражение, используя свойства степеней:

x¹×(x²)³÷(x³)×x²=x¹×x÷x¹×x²=x¹+-¹+²=x

Затем подставим значение x=7 и вычислим результат:

x=7=2401

Ответ: 2401.

Обратите внимание, что мы использовали следующие свойства степеней:

( {a}^{m} ) {}^{n}  = a {}^{mn}

- степень степени равна произведению показателей степеней.

 {a}^{m}  \times  {a}^{n}  =   {a}^{m + n}

- произведение степеней с одинаковым основанием равно степени с основанием и суммой показателей.

 {a}^{m}  \div  {a}^{n}  = a {}^{m - n}

- частное степеней с одинаковым основанием равно степени с основанием и разностью показателей.


ardrig09: Поставьте лучший если не трудно :) Когда появится кнопка.
Вас заинтересует