• Предмет: Математика
  • Автор: tkameneeva186
  • Вопрос задан 1 год назад

СРОЧНОООО!!
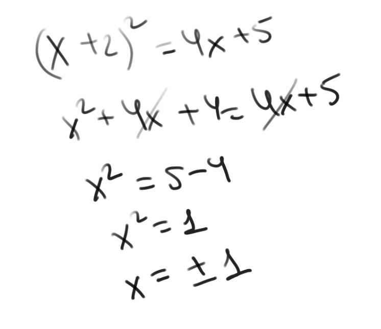
решите уравнение: (х+2)²=4х+5​


jekadva: x₁ = -1 ; x₂ = 1

Ответы

Ответ дал: gcccccfdzzzfg
1
Відповідь надіслала в файлі)дуже легко
Приложения:
Ответ дал: ayaulym368
0

Ответ:

надеюсь помоглааааааа

Приложения:
Вас заинтересует