• Предмет: Алгебра
  • Автор: eldo3557
  • Вопрос задан 1 год назад

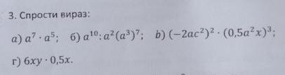
Допоможіть спростити вираз

Приложения:

Ответы

Ответ дал: vbezuglova208
1

Ответ:

a) a^12

б) а^29

b) 4a^2c^4×1, 5a^6x^3

г) так и останится

Вас заинтересует