• Предмет: Математика
  • Автор: Shaligint
  • Вопрос задан 1 год назад

ПОМГИТЕ ПОЖАЛУЙСТА СРОЧНО!!!

Приложения:

Ответы

Ответ дал: wwww4445
0

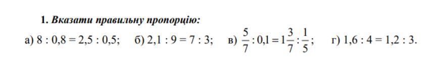
Ответ:

В)

Пошаговое объяснение:

5/7÷1/10=10/7*5

5/7*10=50/7

50/7=50/7

Вас заинтересует