Ответы
Ответ дал:
0
Ответ:
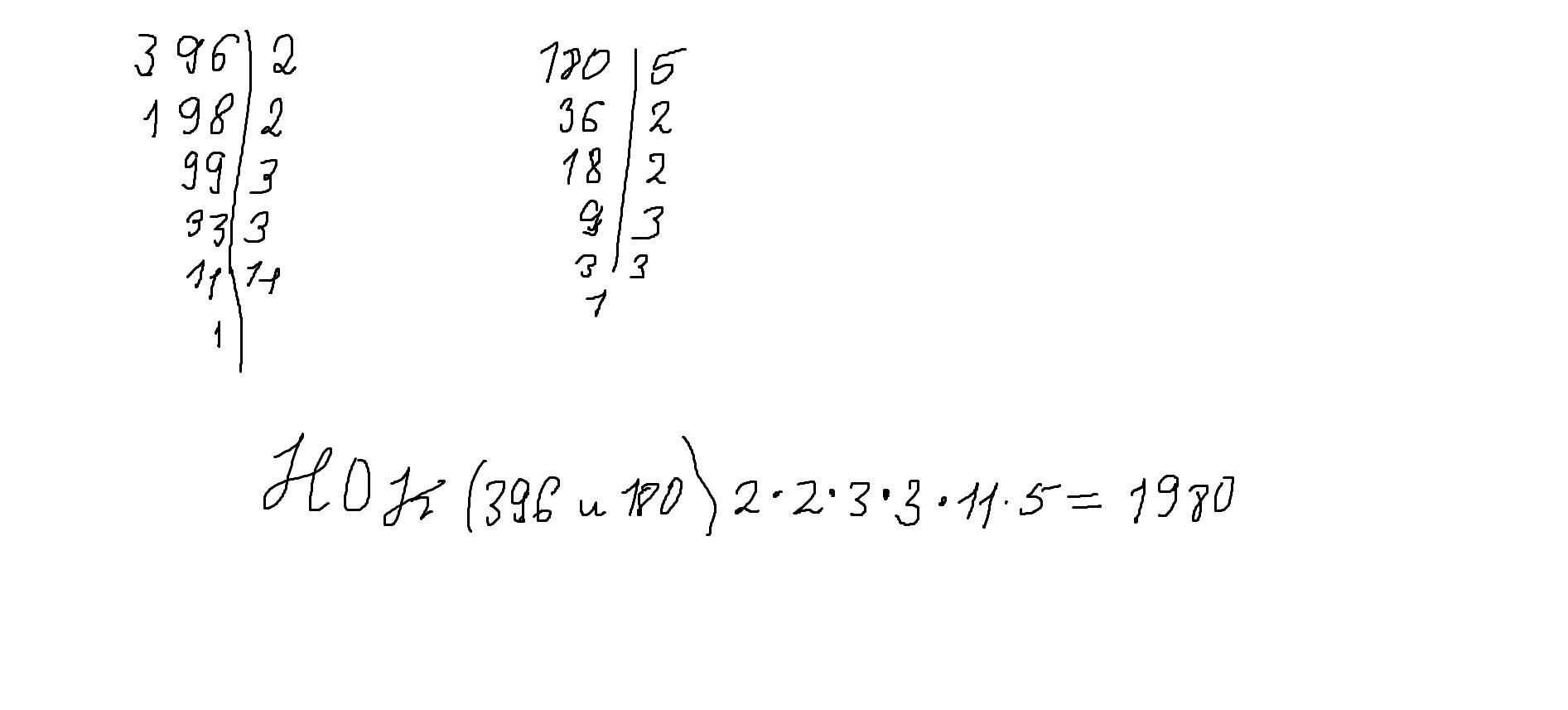
1) 12
2) 1980
Объяснение:
monoldorovumar27:
Спасибо
Ответ дал:
0
Відповідь: це НОК але думаю ты можешь зробити ще НОД
Покрокове пояснення:
Приложения:

Вас заинтересует
1 год назад
1 год назад
1 год назад
2 года назад
2 года назад
8 лет назад