• Предмет: Алгебра
  • Автор: fctdgsygfdhngfxzgsac
  • Вопрос задан 1 год назад

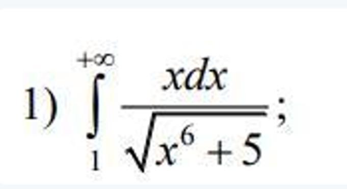
Дослідити інтеграл на збіжність.

Приложения:

Ответы

Ответ дал: reygen
1

Ответ: Сходится

Объяснение:

Первый признак сравнения :

Если на промежутке  [ a ; +∞ ) непрерывные функции f(x) и φ(x) удовлетворяют условию   0 ≤ f(x) ≤ φ(x), то если

 $1)  \int\limits^{+\infty }_a {\varphi(x) } \, dx $  сходится, то и  $ \int\limits^{+\infty }_a {f(x) } \, dx $ сходится

  $ 2) \int\limits^{+\infty }_a {f(x) } \, dx $ расходится, то и   расходится $  \int\limits^{+\infty }_a {\varphi(x) } \, dx $

Шаблонный интеграл первого рода:

$  \int\limits^{+\infty }_a {\frac{1}{x^p} } \, dx $

Сходится при p > 1, и расходится при p ≤ 1

Переходим к решению

\displaystyle \int\limits^{+\infty}_1 {\frac{x dx}{\sqrt{x^6 + 5} } } \, dx

1)При x ≥ 1

$\frac{x }{\sqrt{x^6 + 5} } > 0 $

2)Также при x ≥ 1

$\frac{x }{\sqrt{x^6 + 5} } < \frac{x}{\sqrt{x^6} } =\frac{x}{x^3}  = \frac{1}{x^2}   $

3) \displaystyle \int\limits^{+\infty}_1\dfrac{1}{x^2} \;dx ,  ~ p= 2 > 1 ⇒сходится, а значит исходный интеграл тоже сходится


fctdgsygfdhngfxzgsac: Спасибо большое)
aa2517495: здравствуйте, можете помочь пожалуйста
polarkat: Не делайте ему, он просто переписывает, аналогичные задания кидает и всё
Вас заинтересует