Ответы
Ответ дал:
1
Ответ:
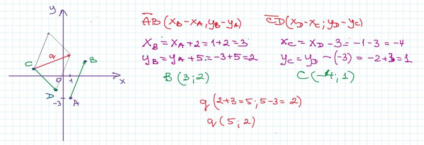
на фото
Объяснение:
Приложения:

understanderxwz:
БОЖЕ, СПАСИБО БОЛЬШОЕ!!!!
Вас заинтересует
1 год назад
1 год назад
1 год назад
2 года назад
2 года назад
8 лет назад