Ответы
Ответ дал:
0
Ответ:
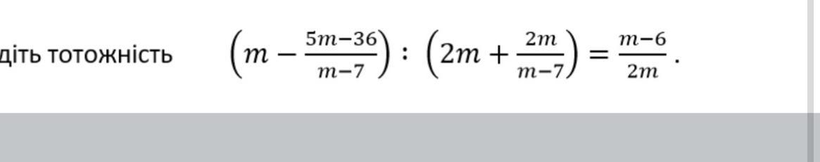
нуу как то таааааааакккккаааааа 2m/m-6
Приложения:

Вас заинтересует
1 год назад
1 год назад
1 год назад
2 года назад
8 лет назад