• Предмет: Математика
  • Автор: svecovaelizaveta72
  • Вопрос задан 1 год назад

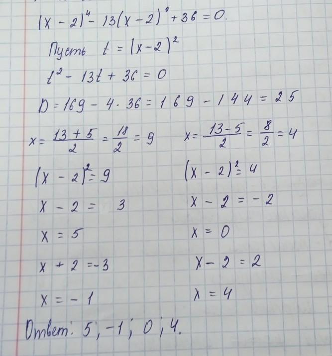
Найдите корни уравнения:
(x-2)-13(x-2)² +36= 0​

Приложения:

Ответы

Ответ дал: nizer17
0
Можно лучший ответ На фото все есть
Приложения:
Ответ дал: fafgagsghsh
0

надеюсь помог, ответ 5, -1, 0, 4

Приложения:
Вас заинтересует