• Предмет: Алгебра
  • Автор: Аноним
  • Вопрос задан 10 лет назад

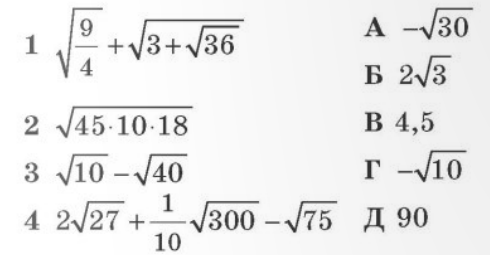
Установите соответствия. 
Желательно с решением.

Приложения:

Ответы

Ответ дал: dimaangel1999
0
1) под а  
2)под д
3)под г
4)под б
Вас заинтересует