• Предмет: Математика
  • Автор: n3427550
  • Вопрос задан 1 год назад

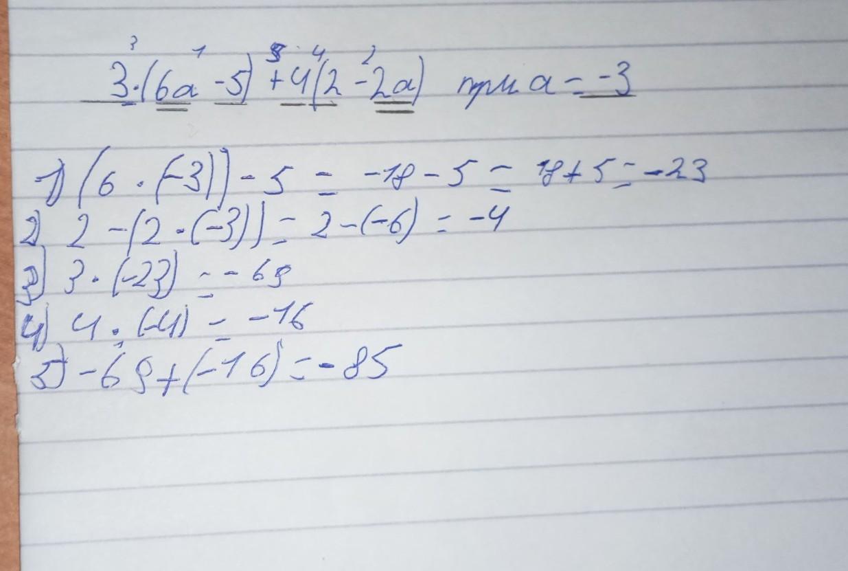
3(6а-5) +4(2-2а), при а=-3 4(7х+3х) +7(2-5х), при х=2​

Ответы

Ответ дал: biketovazanel29
0

Ответ:

сдесь что что я подчеркнула не надо просто стёрки нет рядом

Приложения:
Вас заинтересует