• Предмет: Математика
  • Автор: ngalickaa94
  • Вопрос задан 1 год назад

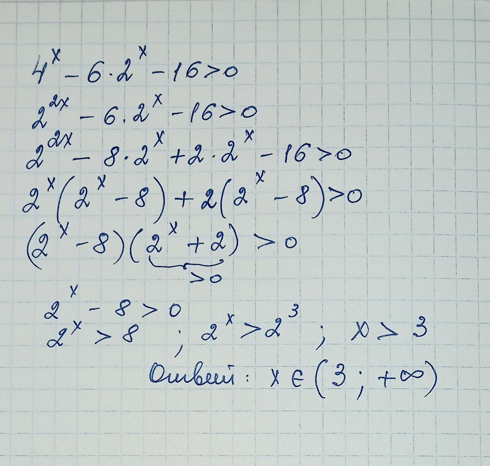
4^x-6•2^x-16 > 0 срочно 50баллов ​

Ответы

Ответ дал: ВладимирБ
1

Ответ:

Пошаговое объяснение:

решение на фото

Приложения:
Вас заинтересует