• Предмет: Математика
  • Автор: ultragvozdy
  • Вопрос задан 1 год назад

помогите пж!!!!!!!!!!!​

Приложения:

Ответы

Ответ дал: tetamotatetyamotya
0

Ответ:

..............

Пошаговое объяснение:

...............

Приложения:
Ответ дал: krasikovtimofey2001
0

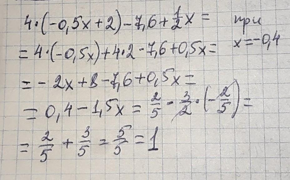
Ответ: -1,5х + 0,4

Пошаговое объяснение: 4*(-0,5х+2) -7,6+1/2Х=-2х+8-7,6+0,5х=-1,5х+0,4

Вас заинтересует