• Предмет: Математика
  • Автор: superpe4enka22
  • Вопрос задан 1 год назад

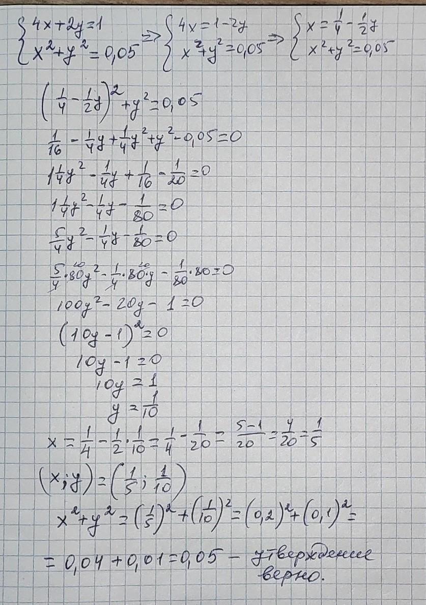
Верно ли, что если 4х + 2у = 1, то сумма квадратов х и у не меньше 0,05?

Ответы

Ответ дал: tetamotatetyamotya
1

Ответ:

..............

Пошаговое объяснение:

.................

Приложения:
Вас заинтересует