Ответы
Ответ дал:
1
Решение .
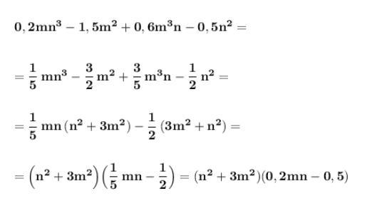
Разложить на множители . Группируем слагаемые и выносим общие множители .
Приложения:

Вас заинтересует
1 год назад
1 год назад
1 год назад
1 год назад
2 года назад
8 лет назад