• Предмет: Алгебра
  • Автор: stivus275
  • Вопрос задан 1 год назад

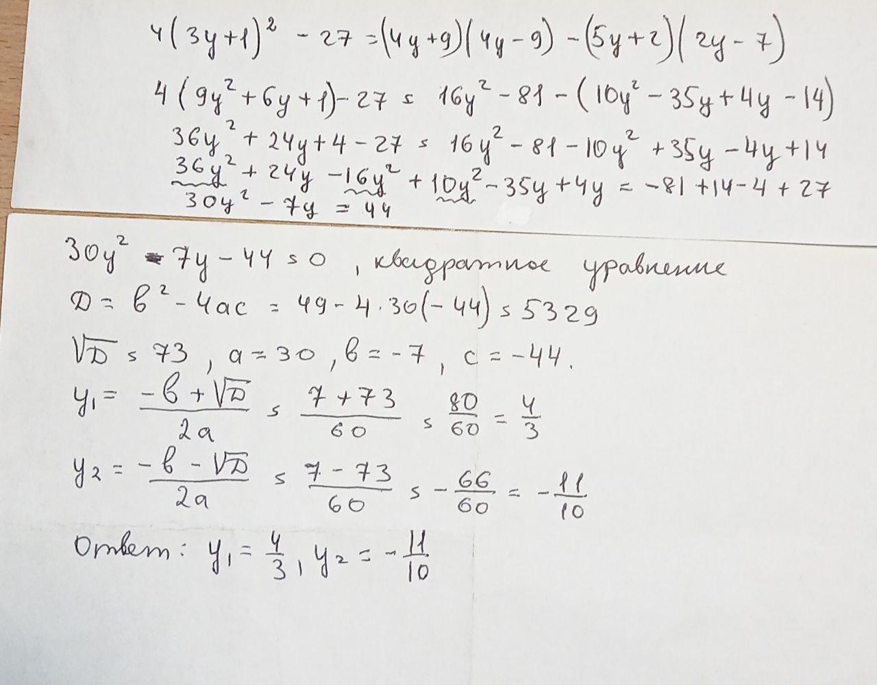
Розвяжи рівняння 4(3y+1) в квадраті - 27 = (4y + 9)( 4y - 9) - (5y + 2)(2y - 7 ) (має вийти -1)

Ответы

Ответ дал: Yuriyqp
0

Ответ:

Объяснение:

в файле

Приложения:
Вас заинтересует