• Предмет: Алгебра
  • Автор: kamenkovaanastasia36
  • Вопрос задан 1 год назад

Допоможіть будь ласка з алгеброю

Приложения:

Ответы

Ответ дал: математик2011
1

Ответ:

на фото

Объяснение:

Приложения:
Ответ дал: NNNLLL54
0

Ответ:

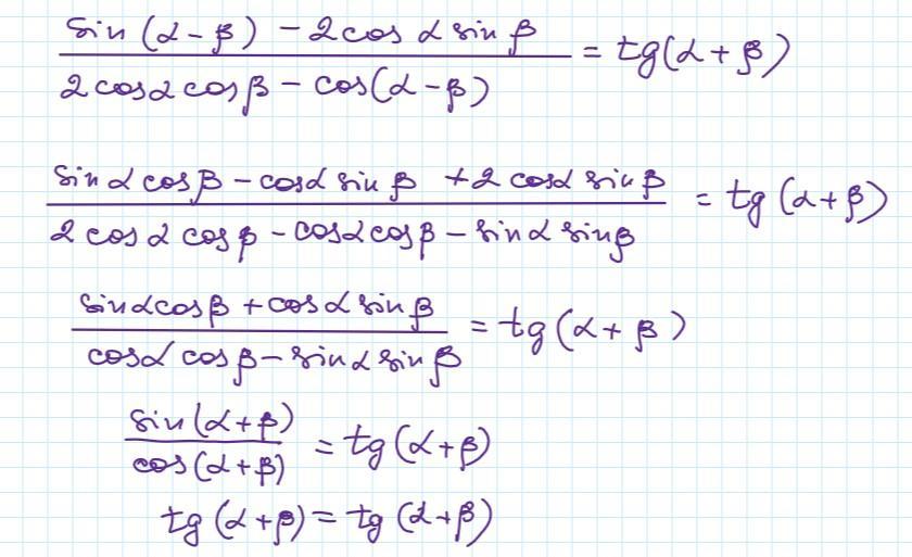
1)   Доказать тождество .  В условии описка. В числителе должна быть записана сумма, а не разность функций .

\bf \displaystyle \frac{sin(\alpha -\beta )+2\, cos\alpha \, sin\beta }{2\,  cos\alpha \, cos\beta -cos(\alpha -\beta )}=tg(\alpha +\beta )\\\\\\ \frac{sin(\alpha -\beta )+2\, cos\alpha \, sin\beta }{2\,  cos\alpha \, cos\beta -cos(\alpha -\beta )}=\frac{(sin\alpha \, cos\beta -cos\alpha \, sin\beta )+2cos\alpha \, sin\beta }{2\, cos\alpha \, cos\beta -(cos\alpha \, cos\beta +sin\alpha \, sin\beta )}=  

\displaystyle \bf =\frac{sin\alpha \, cos\beta +cos\alpha \, sin\beta }{cos\alpha \, cos\beta -sin\alpha \, sin\beta }=\frac{sin(\alpha +\beta )}{cos(\alpha +\beta )}=tg(\alpha +\beta )\\\\\\tg(\alpha +\beta )=tg(\alpha +\beta )                

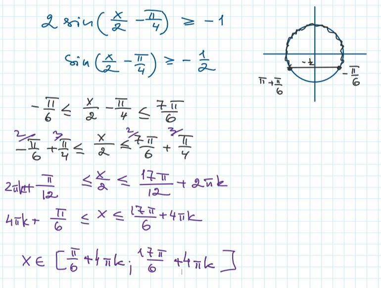
2)  Решить неравенство .

\bf 2sin\Big(\dfrac{x}{2}-\dfrac{\pi }{4}\Big)\geq -1\ \ \ \to \ \ \ sin\Big(\dfrac{x}{2}-\dfrac{\pi }{4}\Big)\geq \dfrac{1}{2} \\\\\\-\dfrac{\pi }{6}+2\pi n\leq \dfrac{x}{2}-\dfrac{\pi }{4}\leq \dfrac{7\pi }{6}+2\pi n\ \ ,\ \ n\in Z\\\\\\\dfrac{\pi }{12}+2\pi n\leq \dfrac{x}{2}\leq \dfrac{17\pi }{12}+2\pi n\ \ ,\ \ n\in Z\\\\\\\dfrac{\pi }{6}+4\pi n\leq x\leq \dfrac{17\pi }{6}+4\pi n\ \ ,\ \ n\in Z\\\\\\x\in \Big [\ \dfrac{\pi }{6}+4\pi n\ ;\ \dfrac{17\pi }{6}+4\pi n\ \Big]\ \ ,\ \ n\in Z            

3)   Найти значение выражения .

\bf ctg\alpha =\dfrac{1}{3}\ \ ,\ \ \dfrac{sin\alpha +cos\alpha }{sin\alpha -cos\alpha }=\dfrac{sin\alpha \, (1+ctg\alpha )}{sin\alpha \, (1-ctg\alpha )}=\dfrac{1+ctg\alpha }{1-ctg\alpha }=\dfrac{1+\dfrac{1}{3}}{1-\dfrac{1}{3}}=\\\\\\=\dfrac{3+1}{3-1}=\dfrac{4}{2}=2  

Приложения:
Вас заинтересует