• Предмет: Алгебра
  • Автор: Ferinskaairina
  • Вопрос задан 1 год назад

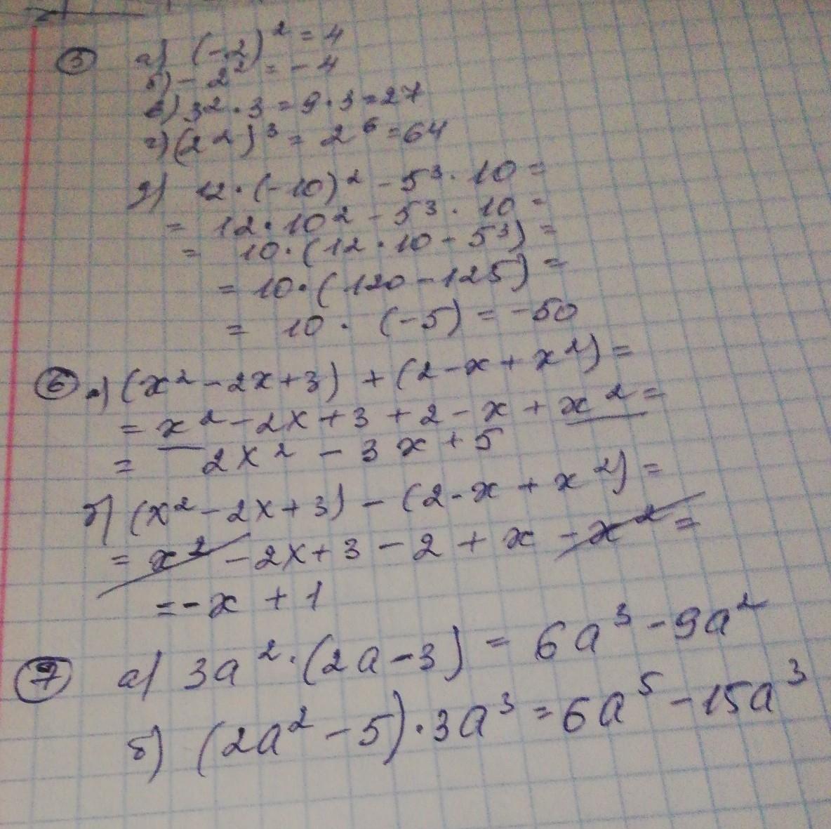
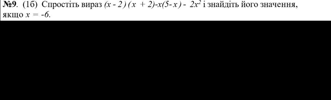
Подскажите пожалуйста

Приложения:

Ответы

Ответ дал: larisaserova53
0

Ответ:

Смотри решение на фото...

Приложения:
Вас заинтересует