• Предмет: Математика
  • Автор: irodubrov190929
  • Вопрос задан 1 год назад

Математика розв'язати

Приложения:

Ответы

Ответ дал: polarkat
0

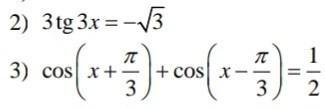
3\mathrm{tg}3x=-\sqrt{3}\Leftrightarrow \mathrm{tg}3x=-\cfrac{1}{\sqrt{3}}\Rightarrow 3x=-\cfrac{\pi}{6}+\pi k,k\in \mathbb{Z}\Rightarrow x=-\cfrac{\pi}{18}+\cfrac{\pi k}{3},k\in \mathbb{Z}

$\cos\left(x+\cfrac{\pi}{3}\right)+\cos\left(x-\cfrac{\pi}{3}\right)=\dfrac{1}{2}\Leftrightarrow 2\cos\left ( \cfrac{1}{2}\left ( x+\cfrac{\pi}{3}+x-\cfrac{\pi}{3} \right ) \right )\cos\left ( \cfrac{1}{2}\left ( x+\cfrac{\pi}{3}-x+\cfrac{\pi}{3} \right ) \right )=\cfrac{1}{2}$\cos x=\cfrac{1}{2}\Rightarrow x=\pm \cfrac{\pi}{3}+2\pi k,k\in \mathbb{Z}

Вас заинтересует