• Предмет: Алгебра
  • Автор: sofyksy
  • Вопрос задан 1 год назад

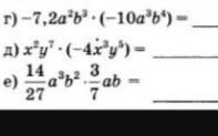
Срочно, алгебра 7класс одночлены

Приложения:

Ответы

Ответ дал: borsukm787
0

Відповідь:

1) 72⁵ b⁷

2) -4x⁵y¹²

3) 2/9(дріб) a⁴b³

Пояснення:

Вас заинтересует