• Предмет: Математика
  • Автор: rockstargamesrdr
  • Вопрос задан 1 год назад

Здравствуйте, нужно решение

Баллы могу добавить если надо

Приложения:

Ответы

Ответ дал: nursaya0405
0

1.5.5)39

1.5.6)-37

1.5.7)-17

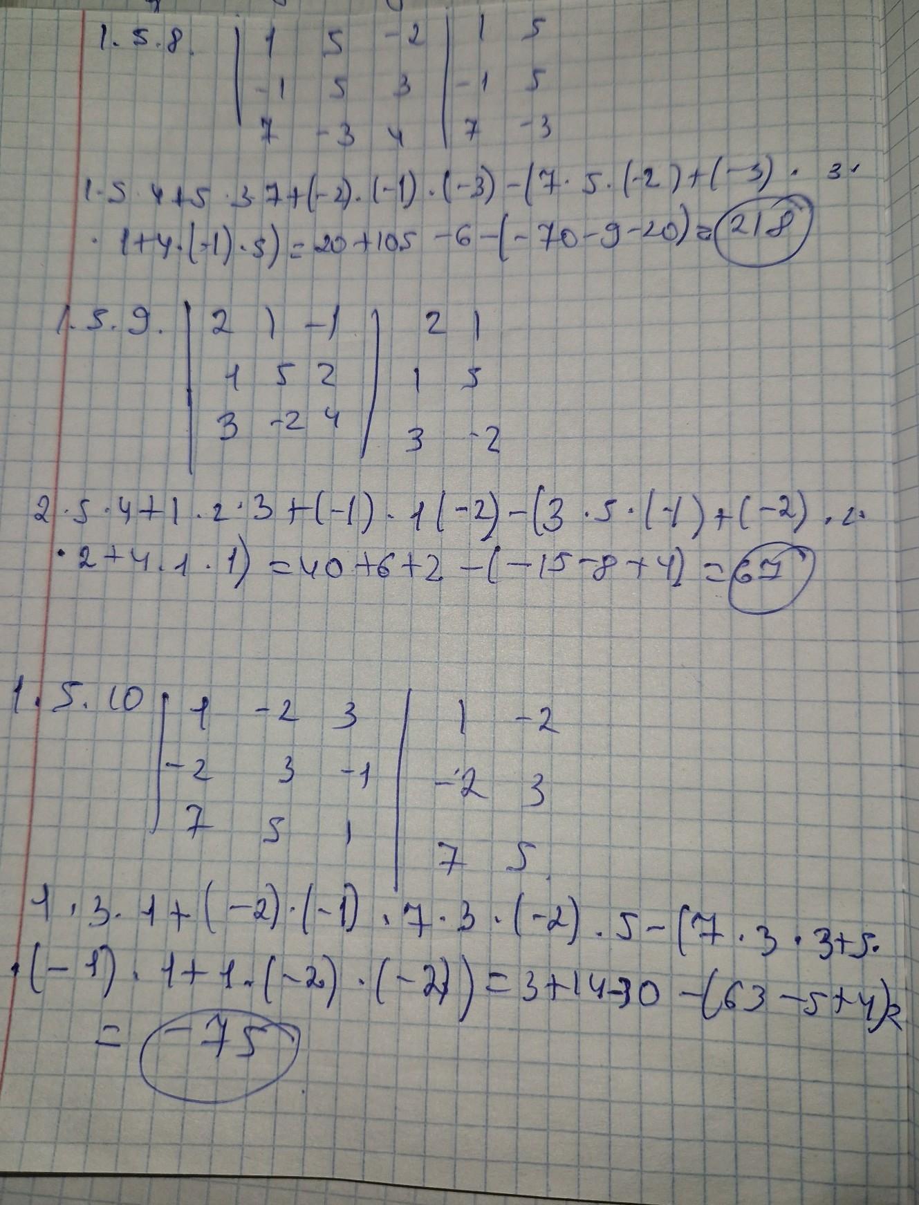
1.5.8)218

1.5.9)67

1.5.10)-75

Приложения:

rockstargamesrdr: Это не полное решение
rockstargamesrdr: Само совершенство случайно начал. В решение сделана только первая часть
Вас заинтересует