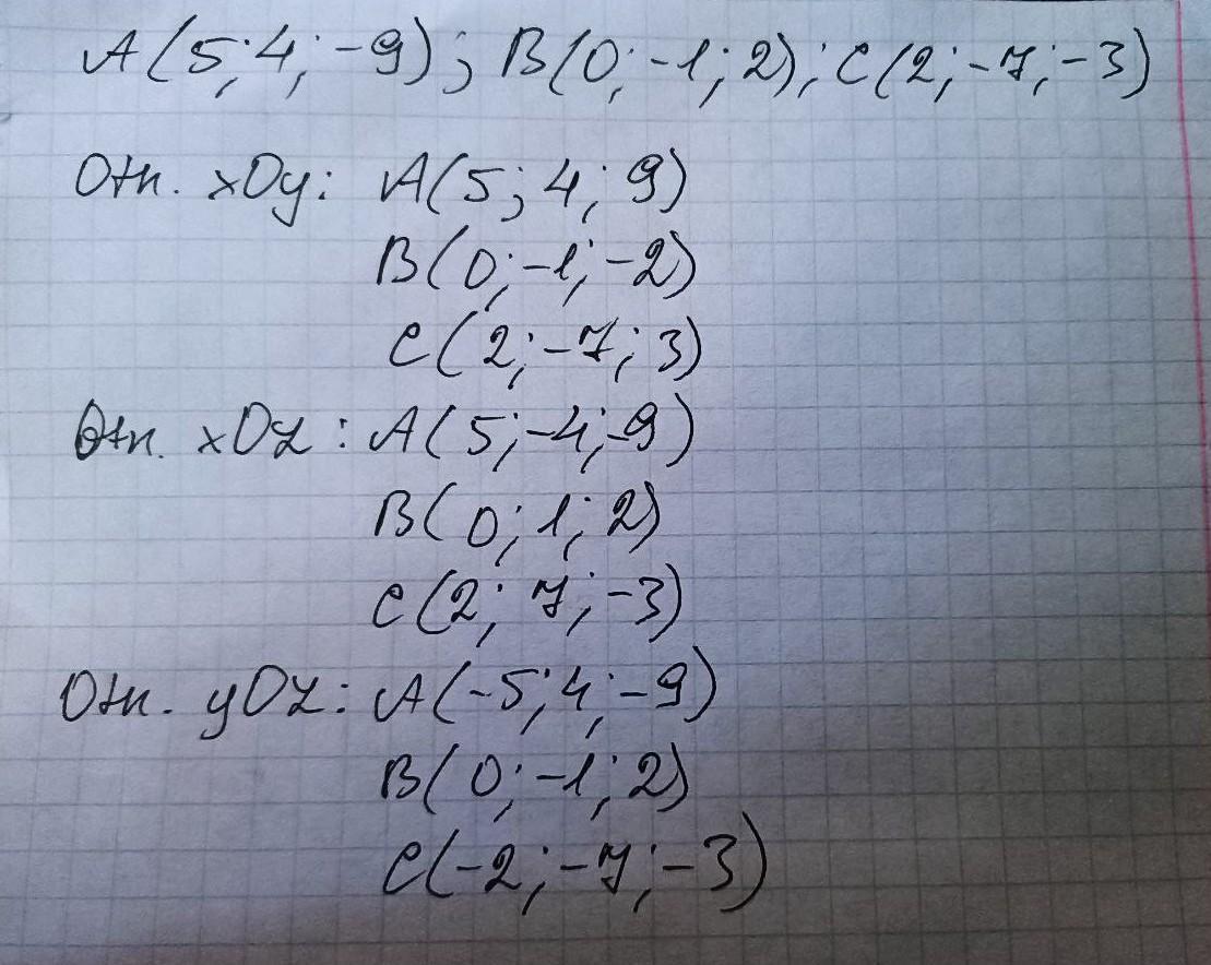
Даны точки A(5; 4; -9), B(0; -1; 2), C(2; -7; -3). Найдите точки, симметричные данным относительно координатных плоскостей.
Ответы
Ответ дал:
1
Ответ:
на фото
Объяснение:
на фото
................
Приложения:

Вас заинтересует
1 год назад
1 год назад
1 год назад
2 года назад
8 лет назад