Ответы
Ответ дал:
0
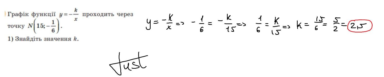
Розв'язок у прикріпленому файлі
Якщо є питання, пишіть
Бажаю гарного дня та успіхів у навчанні :)
Приложения:

Вас заинтересует
1 год назад
1 год назад
1 год назад
1 год назад
2 года назад
2 года назад
8 лет назад