• Предмет: Математика
  • Автор: dimaaaaaddf
  • Вопрос задан 1 год назад


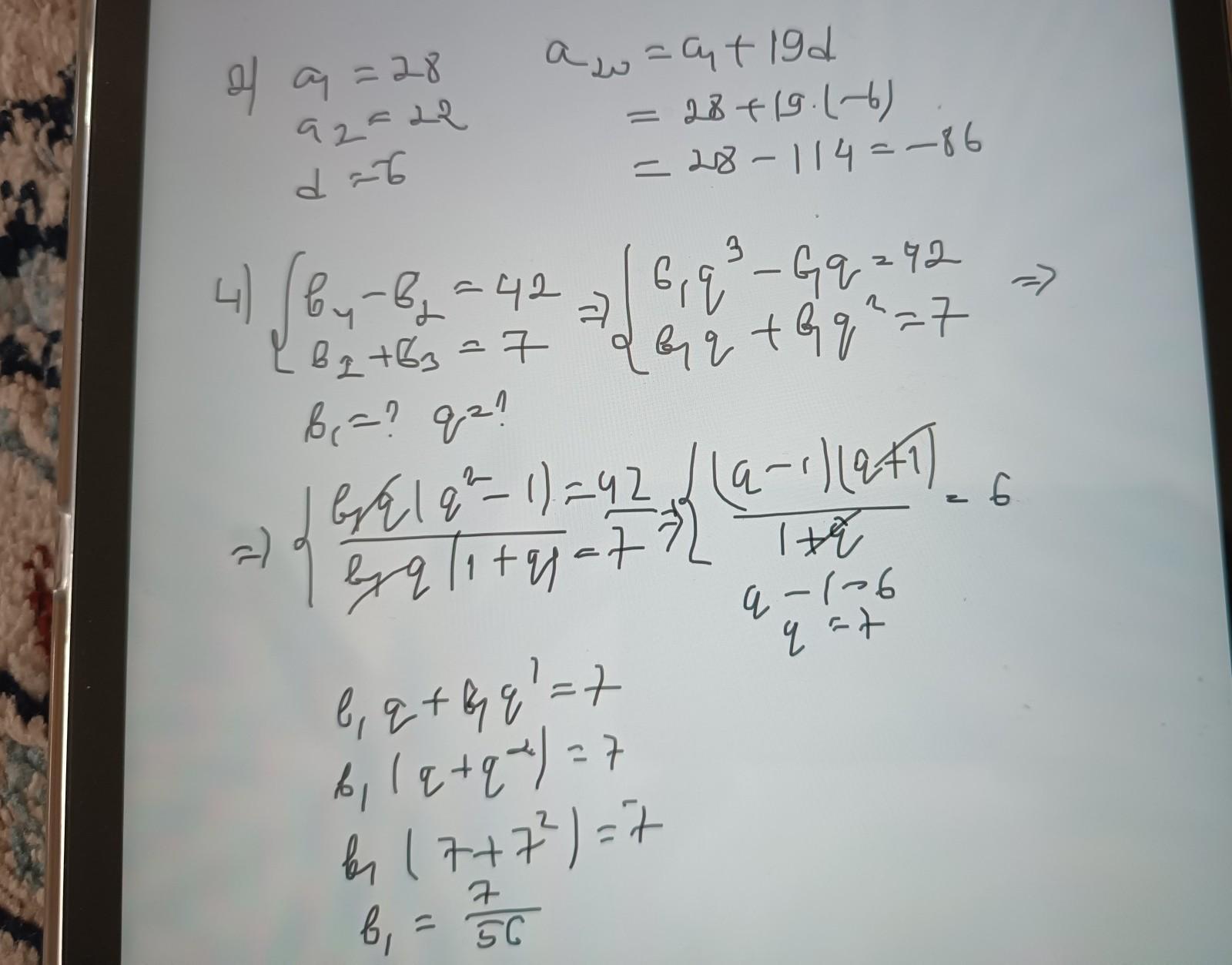
2. Дана арифметическая прогрессия: 28;22;16;... Найдите двадцатый член данной прогрессии.
3. Найти число членов убывающей арифметической прогрессии, если
02 + 06 = 24;
02 • 06 = 128. Sn =88.
4. Известно, что в геометрической прогрессии разность четвертого и второго членов равна 42,а сумма второго и третьего членов равна 7. Найдите первый член данной прогрессии и знаменатель.
5. В оранжерее должны расцвести 720 тюльпанов. Ежедневно расцветает на одно и то же количество цветов больше по сравнению с предыдущим днем. Известно, что за первый день расцвело 44 тюльпана. Определите, сколько тюльпанов расцвело в последний день, если все цветы открылись за 10 дней.
6. Напишите бесконечную периодическую десятичную дробь 0,(32) в види обыкновенной дроби.

Ответы

Ответ дал: mussayevaaktoty
0

Пошаговое объяснение:

чзгазгазсжгсзгазгазга

Приложения:
Вас заинтересует