• Предмет: Математика
  • Автор: margarita16031986
  • Вопрос задан 1 год назад

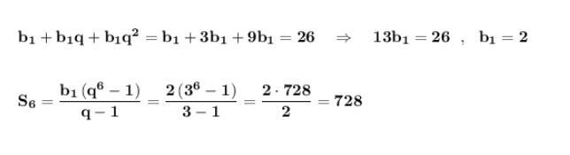
5. Сумма первых трех членов геометрической прогрессии равна 26, знаменатель прогрессии равен 3. Найдите сумму первых шести членов этой прогрессии.

Ответы

Ответ дал: Alnadya
0

Решение .

Сумма первых трёх членов геометрической прогрессии со

знаменателем  q = 3  равна 26    ⇒    

\bf b_1+b_1q+b_1q^2=b_1+3b_1+9b_1=26\ \ \ \Rightarrow \ \ \ 13b_1=26\ \ ,\ \ b_1=2\\\\\\S_6=\dfrac{b_1\, (q^6-1)}{q-1}=\dfrac{2\, (3^6-1)}{3-1}=\dfrac{2\cdot 728}{2}=728  

Приложения:
Вас заинтересует