Ответы
Ответ дал:
0
Ответ:
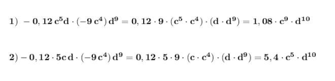
-0,12c×5d×(-9c⁴)d⁹=0,12c×5d×9c⁴d⁹=5,4c⁵d¹⁰.
0,12c×9c⁴d⁹=1,08c⁵d⁹,
5d×1,08c⁵d⁹=5,4c⁵d¹⁰.
Ответ дал:
1
Ответ:
Найти произведение . Применяем свойства степеней .
Приложения:


BlackFox2030:
Здравствуйте. Можете пожалуйста помочь с заданием? нужно вычислить определенный интеграл
Вас заинтересует
1 год назад
1 год назад
1 год назад
2 года назад
2 года назад
8 лет назад