Ответы
Ответ дал:
1
Ответ:
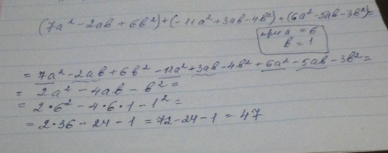
Смотри решение на фото..
Приложения:

larisaserova53:
Посмотри подошло?
Вас заинтересует
1 год назад
1 год назад
1 год назад
2 года назад
2 года назад
8 лет назад