• Предмет: Алгебра
  • Автор: glibsirous
  • Вопрос задан 1 год назад

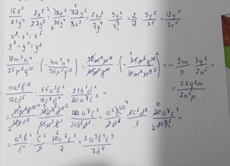
СРОЧНО ДАЮ ВСЕ БАЛЫ!!!!! НАДО ЗДАТЬ ВСЕ ЗАДАНИЯ ВСЕГОДНЯ НА СКРИНЕ!!!!! ПЖ С РОЗЯСНЕНИЕМ ПЖ!!!!

Приложения:

Ответы

Ответ дал: fafgagsghsh
1

у меня мозг вскипел, пока решал. ухх

Приложения:

glibsirous: РЕСПЕКТ СПС
fafgagsghsh: ХАХАХАЗАЗА
fafgagsghsh: всегда пожалуйста, бро
Вас заинтересует