Ответы
Ответ дал:
2
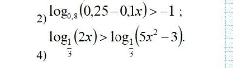
Ответ: решение на фото
Объяснение:
Приложения:


sergeichemakin228:
немного не то но спасибо
Вас заинтересует
1 год назад
1 год назад
1 год назад
2 года назад
2 года назад
8 лет назад