• Предмет: Математика
  • Автор: aguna123go
  • Вопрос задан 1 год назад

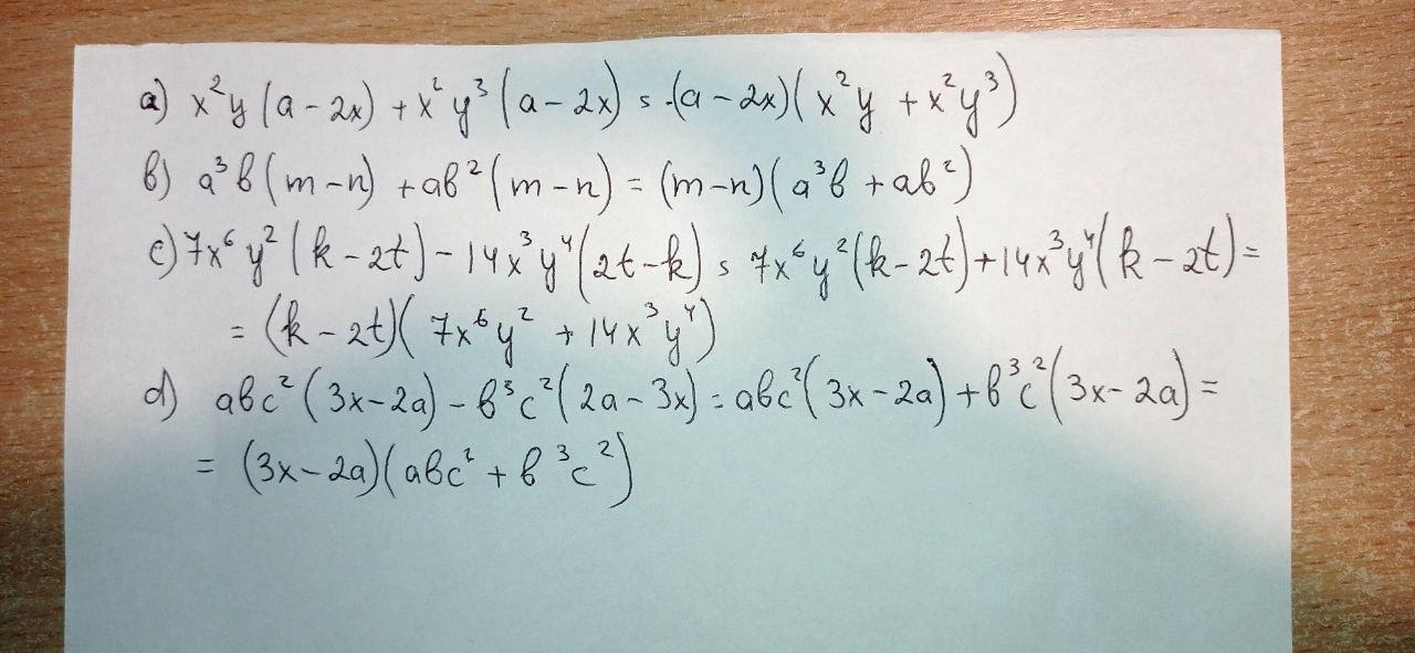
в виде произведения: 5. Запишите выражения a) x²y(a - 2x) + x²y³(a - 2x); - b) a³b(m - n) + ab²(m - n); c) 7x®y²(k - 2t) – 14x³y^(2t - k); d) abc²(3x - 2a) - b³c²(2a - 3x).​


Yuriyqp: пример с) точно верно записан? что такое x®? и y^ какой?
aguna123go: ой
aguna123go: c)x⁶y²(k-2t)-14x³y⁴(t-k)
aguna123go: вот

Ответы

Ответ дал: Yuriyqp
2

Ответ:

Пошаговое объяснение:

в файле

Приложения:

aguna123go: спасибо выручил
Yuriyqp: пожалуйста!
Вас заинтересует