• Предмет: Алгебра
  • Автор: sanzhar133839
  • Вопрос задан 1 год назад

Помогите решить. ДАЮ 100 БАЛЛОВ​

Приложения:

Ответы

Ответ дал: justsawerty
0

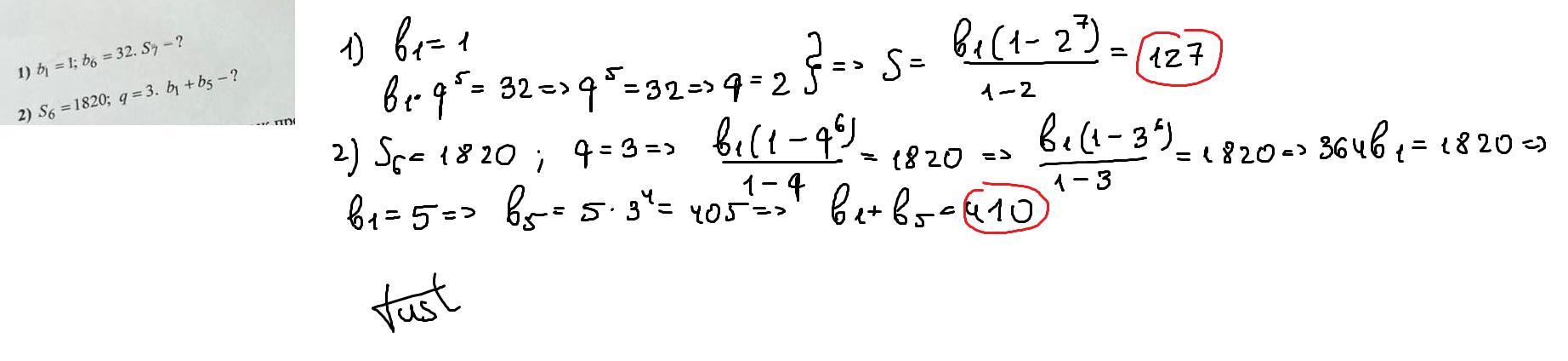
Ответ в прикрепленном файле

Если есть вопросы, пишите :)

Приложения:
Вас заинтересует