• Предмет: Алгебра
  • Автор: seilinoa
  • Вопрос задан 1 год назад

срочно
пж!!!!!!!!!!!!!!!!!

Приложения:

Ответы

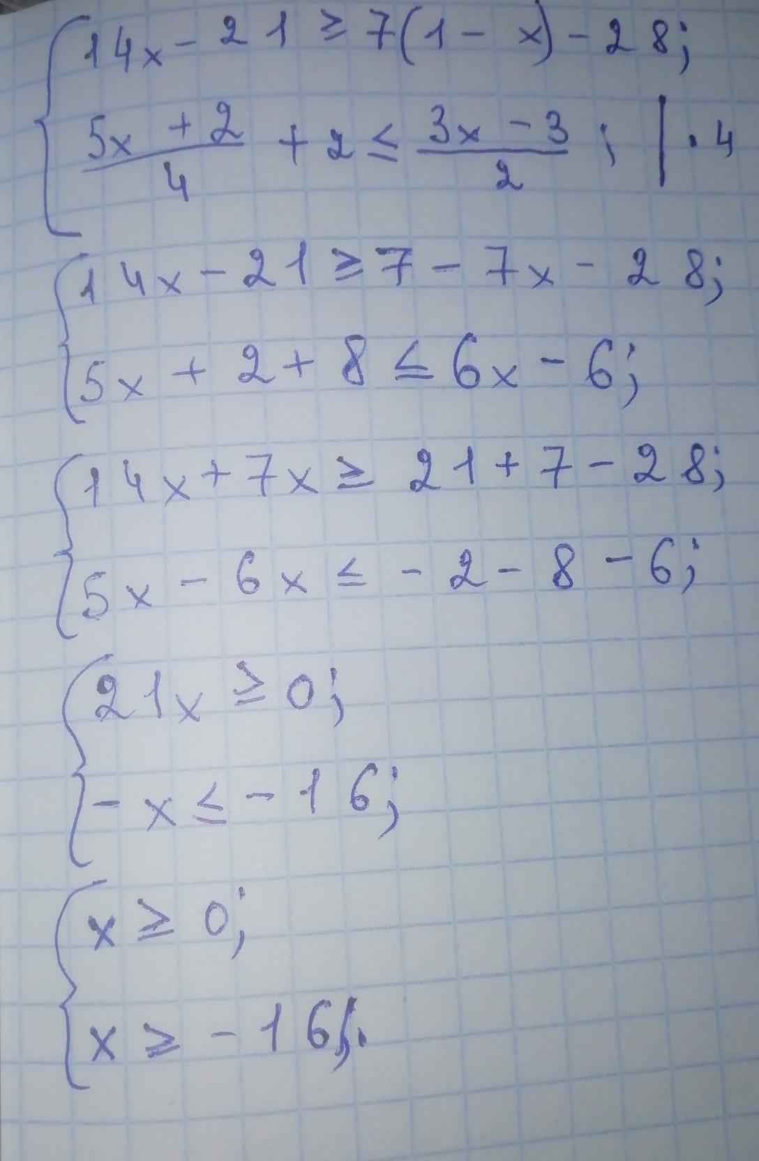
Ответ дал: s4444444445567
1

Ответ: надеюсь помогла

Приложения:
Вас заинтересует