• Предмет: Математика
  • Автор: vladchemeris16
  • Вопрос задан 1 год назад

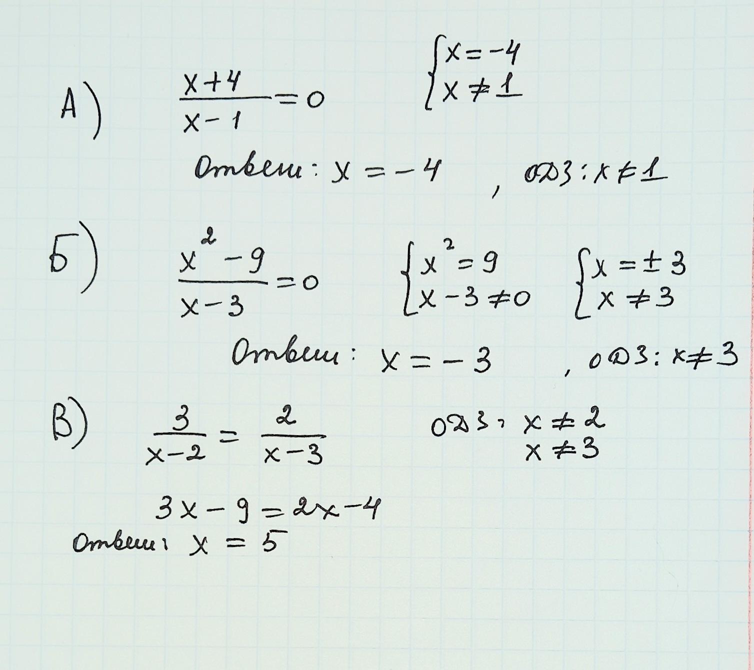
розв'яжіть рівняння(по моєму потрібно з одз)

Приложения:

Ответы

Ответ дал: ВладимирБ
0

Ответ:

Пошаговое объяснение:

решение на фото

Приложения:

vladchemeris16: а первое?
ВладимирБ: Три уравнения - три решения
Вас заинтересует