• Предмет: Алгебра
  • Автор: 0tochka0
  • Вопрос задан 1 год назад

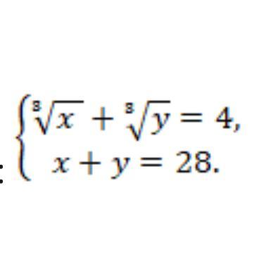
решите систему уравнений
помогите пожалуйста!!!

Приложения:

4h7rygf8rq: Будет 5

Ответы

Ответ дал: zanbolkobeev999
1

\sqrt[3]{x} =t= > x=t^3\\\sqrt[3]{y}=z= > y=z^3 \\\left \{ {{t+z}=4 \atop {t^3+z^3=28}} \right.= > \left \{ {{t=4-z} \atop (4-z)^3+z^3=28}} \right.   \\64-48z+12z^2-z^3+z^3=28\\12z^2-48z-36=0\\z^2-4z-3=0\\(z-3)(z-1)=0\\z_1=3\\z_2=1\\t_1=4-3=1\\t_2=4-1=3\\x_1=1, y_1=27\\x_1=27,y_2=1Ответ:(1;27), (27;1)

Объяснение:

Вас заинтересует