Ответы
Ответ дал:
0
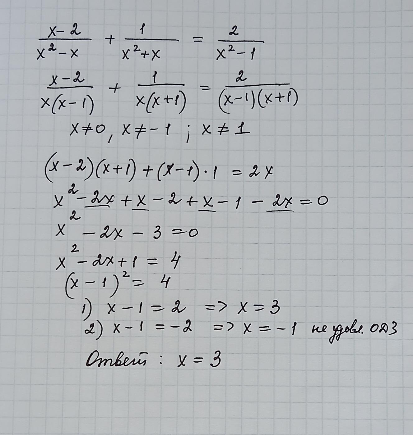
Ответ:
x=3
Объяснение:
решение на фото
Приложения:

Вас заинтересует
1 год назад
1 год назад
2 года назад
2 года назад
8 лет назад