• Предмет: Математика
  • Автор: softia2007
  • Вопрос задан 1 год назад

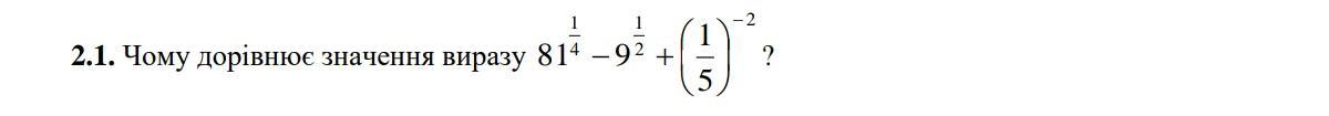
Допоможіть с задачею! Даю 100 балів!
І можна з малюнком?

Приложения:

Ответы

Ответ дал: potnapyatka333
1

Ответ:

Скрин

Пошаговое объяснение:

Скрин....................

Приложения:
Вас заинтересует