• Предмет: Алгебра
  • Автор: sonia2311com
  • Вопрос задан 1 год назад

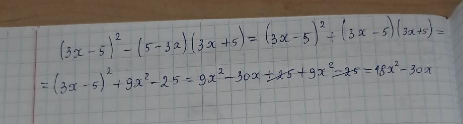
Спростити вираз: (3х - 5)² - (5 – 3х)(3х + 5).

Ответы

Ответ дал: iryna04
1

Ось розв'язок (Прикріпила фото)

Приложения:
Вас заинтересует