• Предмет: Алгебра
  • Автор: ivansheva2010
  • Вопрос задан 1 год назад

Решите пожалуйста два уравнения

Приложения:

Ответы

Ответ дал: iramazurk
1

Объяснение:

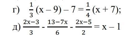
1/3(х - 9) - 7 = 1/4(х + 7)

1/3х - 3 - 7 = 1/4х + 7/4

1/3х - 10 = 1/4х + 1 3/4

1/3х - 1/4х = 1 3/4 + 10

4/12х - 3/12х = 11 3/4

1/12х = 47/4

х = 47/4 : 1/12

х = 47/4 * 12/1

х = 47/1 * 3/1

х = 141/1

х = 141

(2х - 3)/3 - (13 - 7х)/6 - (2х - 5)/2 = х - 1 | * 6

2(2х - 3) - (13 - 7х) - 3(2х - 5) = 6(х - 1)

4х - 6 - 13 + 7х - 6х + 15 = 6х - 6

5х - 4 = 6х - 6

5х - 6х = -6 + 4

-х = -2

х = 2


ReMiDa: Второе неверно
iramazurk: Да, спасибо.
Вас заинтересует