• Предмет: Алгебра
  • Автор: plmnko230
  • Вопрос задан 1 год назад

допоможіть будь ласка!!
з рішенням
15 балів(все що є)

Приложения:

Ответы

Ответ дал: hhidrogenium
1

Ответ: на фото……………..

Объяснение:

Приложения:
Ответ дал: kvlannakoval
0

Ответ:

Объяснение:

7В

8. 1). D(f)=R; E(f)=R

2). x=-1; x=1; x=3

3). f(x)>O при x є ( - 1;1) U ( 3; + ∞)

f(x)<O при x є ( - ∞ ; - 1) U ( 1 ; 3)

4). Зрост. при х є ( - ∞; 0.5) U ( 2; + ∞)

Спад при х є ( 0.5; 2)

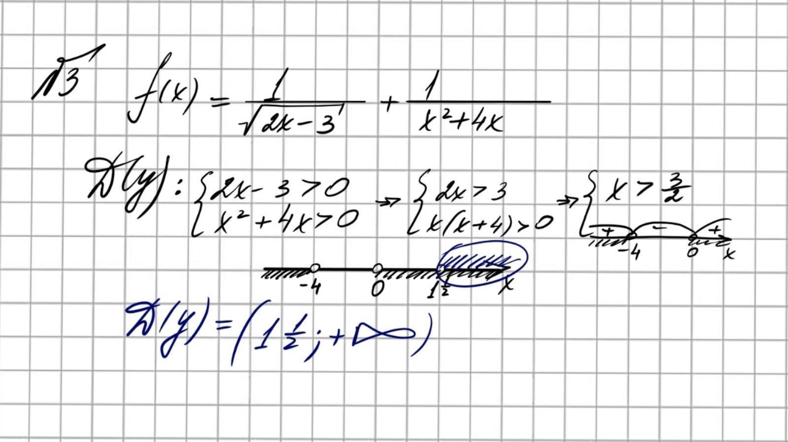
9. D(y)= ( 1 ½ ; + ∞)

Вас заинтересует