• Предмет: Алгебра
  • Автор: yulialkagordia
  • Вопрос задан 1 год назад

Спростіть вираз будь ласка!!!!

Приложения:

Ответы

Ответ дал: NNNLLL54
2

Ответ:

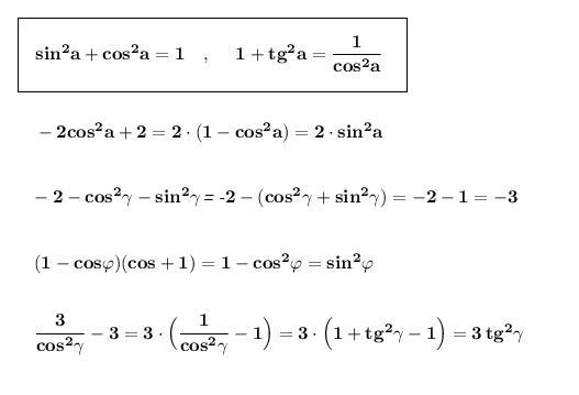
Упростить выражение . Применяем тождества :

\bf sin^2a+cos^2a=1\ \ \ ,\ \ \ \ 1+tg^2a=\dfrac{1}{cos^2a}   .  

\bf -2cos^2a+2=2\cdot (1-cos^2a)=2\cdot sin^2a\\\\\\-2-cos^2\gamma -sin^2\gamma =-2-(cos^2\gamma +sin^2\gamma )=-2-1=-3\\\\\\(1-cos\varphi )(cos\varohi +1)=1-cos^2\varphi =sin^2\varphi \\\\\\\dfrac{3}{cos^2\gamma }-3=3\cdot \Big(\dfrac{1}{cos^2\gamma }-1\Big)=3\cdot \Big(1+tg^2\gamma -1\Big)=3\, tg^2\gamma  

Приложения:

fctdgsygfdhngfxzgsac: NNNLLL54, Здравствуйте! Можете пожалуйста помочь?https://znanija.com/task/54608617
Вас заинтересует